A Fórmula de Prestações da Tabela Price
A Tabela Price, também chamado de sistema francês de amortização, é uma ferramenta muito útil para quem precisa realizar cálculos financeiros, sejam eles pessoais ou empresariais. Com a Tabela Price, é possível calcular a prestação de um empréstimo, de uma compra a prazo ou mesmo de um financiamento. Neste artigo, vamos explicar a fórmula de prestações da Tabela Price e como ela funciona.
Lista de Exercício Sistema PRICE de Amortização
Como funciona a fórmula de prestações da Tabela Price
A fórmula de prestações da Tabela Price é baseada na matemática financeira e usa três variáveis principais: o valor do empréstimo, a taxa de juros e o número de parcelas. A partir dessas variáveis, é possível calcular o valor da prestação mensal.
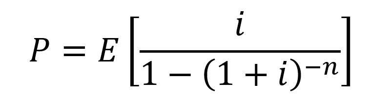
A fórmula é a seguinte:
- Utilize essa para expoente positivo
- Utilize essa para expoente negativo
Onde:
P é o valor da prestação;
E é o valor do empréstimo;
i é a taxa de juros mensal;
n é o número de parcelas.
Exemplo de uso da fórmula
Vamos supor que você precisa realizar um empréstimo no valor de R$ 10.000,00, com uma taxa de juros mensal de 1% e parcelado em 12 meses. A fórmula ficaria assim:
Utilize 1,01¹² = 1,127
P = R$ 10.000,00[0,01*(1+0,01)¹²/(1+0,01)¹²-1]
P = R$ 887,40.
Assim, a prestação mensal seria de R$ 887,40.
Vantagens de usar a Tabela Price
A Tabela Price é uma ferramenta muito útil, pois permite que você faça cálculos precisos e detalhados. Além disso, ela é fácil de usar e pode ser encontrada gratuitamente na internet.
Outra vantagem é que a Tabela Price permite que você simule diferentes cenários, mudando as variáveis da fórmula e vendo como isso afeta o valor da prestação. Isso é muito útil para quem está planejando suas finanças e precisa escolher a melhor opção.
A fórmula de prestações da Tabela Price é uma ferramenta importante para quem deseja planejar suas dívidas de maneira estratégica. Ela permite calcular o valor das prestações de maneira precisa, levando em conta a taxa de juros e o prazo de pagamento. Para usar a Tabela Price de forma eficiente, é preciso conhecer seus conceitos e aplicá-los adequadamente. Isso permite tomar decisões financeiras mais seguras e ter mais controle sobre as dívidas. É uma ferramenta importante para quem está se preparando para um concurso na área financeira.
Tabela Prince: Veja algumas questões cobradas em concursos
Logo, o valor dos juros inclusos na primeira prestação é:
A) Maior que R$ 825.
B) Maior que R$ 775 e menor que R$ 825.
C) Maior que R$ 725 e menor que R$ 775.
D) Maior que R$ 675 e menor que R$ 725.
E) Menor que R$ 675.
👉 (Solução)
2 - Qual é o tipo de sistema de amortização na qual o valor das parcelas do financiamento é sempre constante?
A) Sistema de Amortização Constante (SAC).
B) Sistema de Amortização Americano.
C) Sistema de Amortização Price.
D) Sistema de Amortização Misto.
3 - Ao verificar o saldo devido de seu financiamento de R$ 8.000,00, um cliente percebeu que, após pagar a primeira prestação de R$ 1.726,93, ele havia amortizado apenas R$ 1.518,93. Consultando seu gerente, ele soube que nesse financiamento foi usado o sistema Price.
Qual é a taxa mensal de juros cobrada nesse financiamento?
A) 1,0%
B) 1,3%
C) 1,6%
D) 2,3%
E) 2,6%
Fórmula da Dívida no Sistema Price
Anteriormente, abordamos a fórmula para calcular as prestações de um financiamento utilizando a Tabela Price (Sistema de Amortização Francês). Agora, vamos calcular a dívida D restante após o pagamento de k prestações até o k-ésimo mês, utilizando a seguinte fórmula.
em que
P é o valor das prestações do financiamento,
i é a taxa de juros e
n é o número de meses (ou ciclos) do financiamento.
Lista de Exercício Sistema PRICE de Amortização
Curso Completo de Matemática Financeira
✔️O Conceito do Valor do Dinheiro no Tempo
✔️Equivalência financeira: o que é e como funciona?
✔️Fluxo de Caixa: conceito e importância para as decisões financeiras
✔️Capitalização e Regimes de Capitalização
✔️Capital, Juros e Taxas de Juros
✔️Juros Simples: Entenda como funciona e como aplicá-los
✔️Juros Compostos: Entenda a Fórmula e Aplicações na Matemática Financeira
✔️Aprenda a usar a fórmula de prestações da Tabela Price
✔️Entenda o Sistema de Amortizações Constantes (SAC)

Comentários
Postar um comentário